[endif]-->;

通知公告

首页

    通知公告

    当前您的位置: 首页 - 通知公告 - 正文

    威廉希尔中文官网2023级优秀本科生校内转专业第一志愿录取结果

    日期:2024-03-22作者: 浏览量:

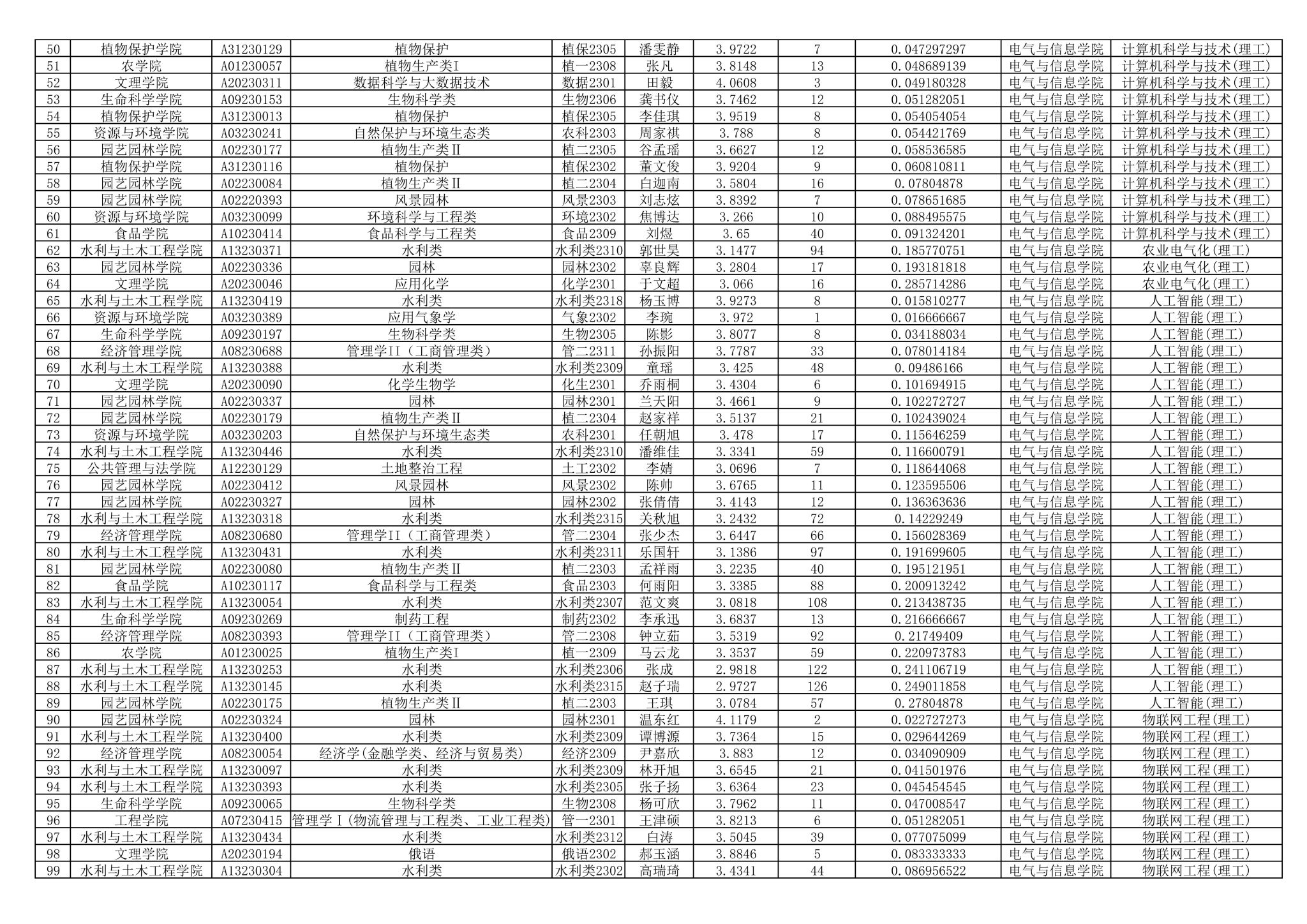
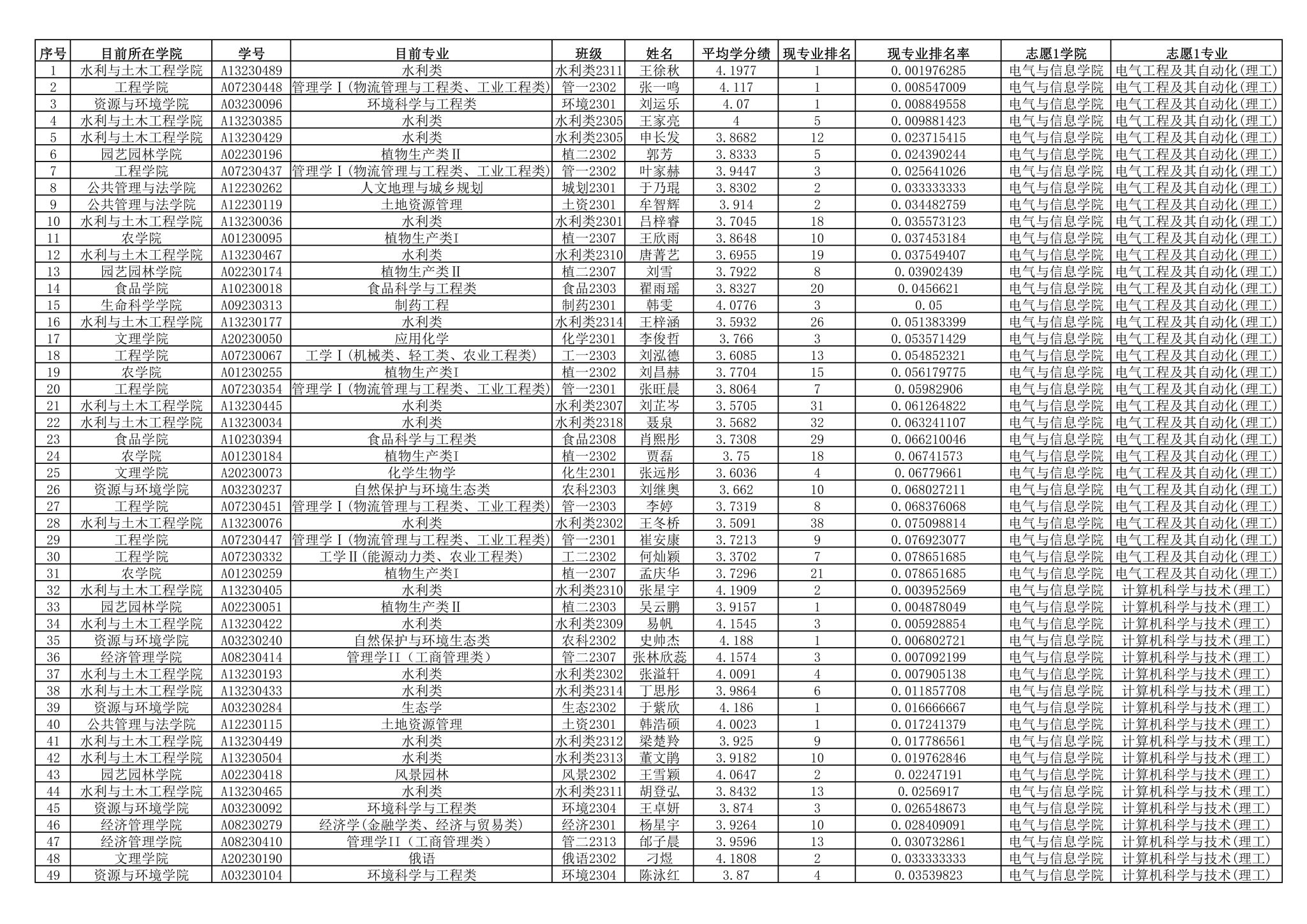
    根据《williamhill官网学生转专业、转学管理实施细则修订》和《威廉希尔中文官网优秀本科生转专业接收方案》的规定,威廉希尔中文官网2023级优秀本科生校内转专业第一志愿录取结果如下:

    威廉希尔中文官网

    2024322